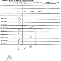
Ordinances1978_O-0003
- Name
- Ordinances1978_O-0003
- BoxID
- Ordinances_1978
- Date
- 6/19/2025
- Modified By
- ebelford@cambridgema.gov
- Date Created
- 1/23/1978
- Category
- Ordinances
- Keywords
- Petition to amend the Zoniung Ordinance to improve a one-year development moratorium in the Alewife/North Cambridge area.

